吉他之家

 找回密码
 立即注册
吉他之家 吉他谱 简谱 查看内容

山楂花简谱

2019-11-10 11:23:00| 发布者: 默子简谱| 查看: 6023| 评论: 0

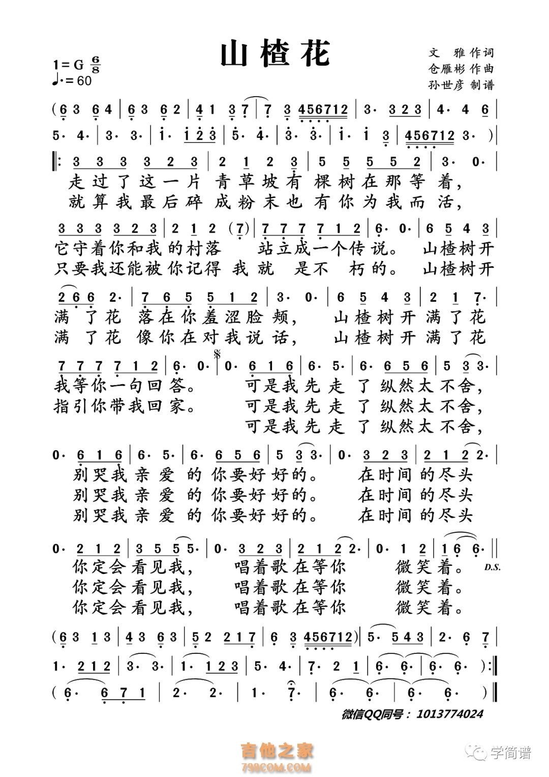
摘要: 山楂花-陈楚生制谱:孙世彦走过了这一片青草坡有棵树在那儿等着它守着你和我的村落站立成一个传说山楂树开满了花落在你羞涩脸颊山楂树开满了花我等你一句回答可是我先走了纵然太不舍别哭我亲爱的你要好好的在时间的 ...

本章为“山楂花简谱 ”信息,了解更多高清无码版本吉他谱、尤克里里、教学视频等信息,请关注吉他之家,我们会持续更新。

山楂花简谱

山楂花简谱

吉他之家为您提供:山楂花简谱 ,查看更多山楂花简谱 图片谱、C调吉他谱、D调吉他谱、E调吉他谱、F调吉他谱、G调吉他谱、A调吉他谱、B调吉他谱、TXT吉他谱版、GTP吉他谱版、山楂花简谱 简谱、山楂花简谱 尤克里里谱、六线谱、五线谱、吉他和弦谱及山楂花简谱 吉他教学视频,请查看下方"相关阅读"。


吉他之家版权声明:本站图谱信息均来自互联网或网友自制 仅供参考与交流,版权归属原创作者所有。若侵权请告知!



路过

上一篇:隔壁泰山简谱下一篇:美丽心情简谱

最新评论

www.798com.com|联系我们|广告合作|吉他之音|吉他之家 ( 京ICP备12000409号-4 )

GMT+8, 2025-12-24 01:49

Powered by Discuz! X3.4 & 吉他之家

© 2017-2022 Comsenz Inc. & 吉他之家

返回顶部