吉他之家

 找回密码
 立即注册
吉他之家 吉他谱 简谱 查看内容

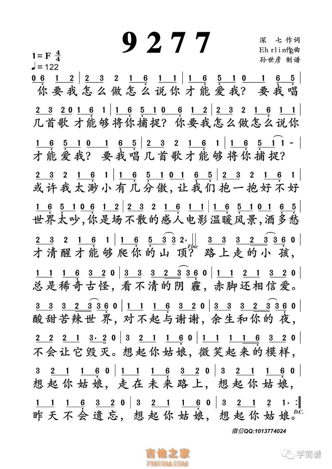
9277简谱 深七

2019-11-24 09:35:00| 发布者: 默子简谱| 查看: 6079| 评论: 0

摘要: 9277-深七作词:深七制谱:孙世彦你要我怎么做怎么说你才能爱我要我唱几首歌才能够将你捕捉你要我怎么做怎么说你才能爱我要我唱几首歌才能够将你捕捉或许我太渺小有几分傲让我们抱一抱好不好世界太吵你是场不散的感 ...

本章为“9277简谱 深七 ”信息,了解更多高清无码版本吉他谱、尤克里里、教学视频等信息,请关注吉他之家,我们会持续更新。

9277简谱 深七

9277简谱 深七

吉他之家为您提供:9277简谱 深七 ,查看更多9277简谱 深七 图片谱、C调吉他谱、D调吉他谱、E调吉他谱、F调吉他谱、G调吉他谱、A调吉他谱、B调吉他谱、TXT吉他谱版、GTP吉他谱版、9277简谱 深七 简谱、9277简谱 深七 尤克里里谱、六线谱、五线谱、吉他和弦谱及9277简谱 深七 吉他教学视频,请查看下方"相关阅读"。


吉他之家版权声明:本站图谱信息均来自互联网或网友自制 仅供参考与交流,版权归属原创作者所有。若侵权请告知!



路过

最新评论

www.798com.com|联系我们|广告合作|吉他之音|吉他之家 ( 京ICP备12000409号-4 )

GMT+8, 2025-12-24 06:39

Powered by Discuz! X3.4 & 吉他之家

© 2017-2022 Comsenz Inc. & 吉他之家

返回顶部