吉他之家

 找回密码
 立即注册
吉他之家 吉他教学 查看内容

吉他小白也能弹唱《偏爱》学会张芸京经典,扫弦节奏竟然这么简单

2025-2-12 14:03:20| 发布者: @Xizi_ftSfj0eH| 查看: 257| 评论: 0

摘要: 在阅读此文之前,辛苦您点击一下“关注”,既方便您进行讨论和分享,又能给您带来不一样的参与感,感谢您的支持!文| 乐阳吉他教学编辑丨乐阳吉他教学吉他小白也能弹唱《偏爱》?零基础轻松学会张芸京经典,扫弦节奏 ...

在阅读此文之前,辛苦您点击一下“关注”,既方便您进行讨论和分享,又能给您带来不一样的参与感,感谢您的支持!

文| 乐阳吉他教学

编辑丨乐阳吉他教学



吉他小白也能弹唱《偏爱》学会张芸京经典,扫弦节奏竟然这么简单

吉他小白也能弹唱《偏爱》?零基础轻松学会张芸京经典,扫弦节奏竟然这么简单?

张芸京的《偏爱》,那独特的嗓音和充满力量的旋律,至今仍让人回味无穷。想自己弹唱这首经典歌曲吗?别担心,即使你是吉他小白,也能轻松学会!今天就带你一起,揭开《偏爱》吉他扫弦的神秘面纱!


吉他小白也能弹唱《偏爱》学会张芸京经典,扫弦节奏竟然这么简单


五个和弦,轻松搞定《偏爱》

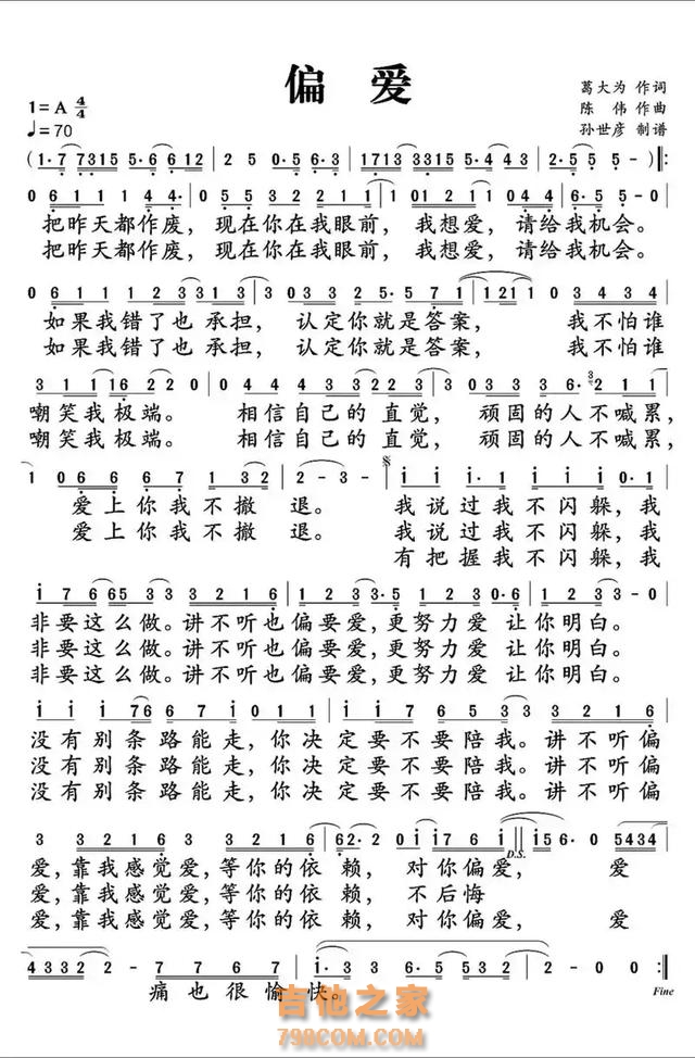
先别被“吉他”两个字吓到!其实,弹唱《偏爱》只需要掌握五个简单的和弦:Em、C、G、D、Am。是不是感觉没那么难了?我会一步步教你,配上图解,保证你看得懂,学得会!每个和弦的指法都非常基础,只要你认真练习,很快就能熟练掌握。想想看,当你第一次顺利弹奏出完整的和弦时,那种成就感,绝对让你欲罢不能!


吉他小白也能弹唱《偏爱》学会张芸京经典,扫弦节奏竟然这么简单


和弦转换,就像跳舞一样流畅

学会了单个和弦,接下来就是和弦转换了。别怕,这可不是什么高难度动作!我会教你如何平滑地切换这五个和弦,就像跳舞一样流畅自如。我会详细讲解手指的移动路线和换弦的时机,配上视频或者动图,让你看得更清楚。 记得练习时要慢,先确保每个和弦都准确无误,再慢慢加快速度。


吉他小白也能弹唱《偏爱》学会张芸京经典,扫弦节奏竟然这么简单



扫弦节奏,简单到让你怀疑人生

《偏爱》的扫弦节奏,其实非常简单!我会教你两个基础节奏型,一个“下下下上下上下下下上”,另一个稍复杂一些,但也会分解讲解,保证你听得明明白白。 我们先从简单的节奏型开始,慢慢适应,再逐步过渡到复杂的节奏型。 记住,练习时可以使用节拍器,这能帮助你保持节奏的稳定性,让你的扫弦听起来更专业。


吉他小白也能弹唱《偏爱》学会张芸京经典,扫弦节奏竟然这么简单



扫弦技巧,让你弹奏更动听

除了节奏,扫弦的力度和速度也很重要。我会教你如何控制力度,让你的扫弦既有力度,又不会过于生硬;如何控制速度,让你的扫弦既流畅,又不会显得拖沓。 我们会一起练习,找到最适合自己的节奏和力度,让你的《偏爱》更动听!


吉他小白也能弹唱《偏爱》学会张芸京经典,扫弦节奏竟然这么简单



歌曲拆解,逐句练习,轻松上手

别急着完整弹奏!我们会把《偏爱》拆分成一句一句来练习,先掌握每句对应的和弦和扫弦节奏,再把它们连起来。 这样,你就能轻松掌握整首歌的弹唱技巧,更有成就感! 例如,“昨天”这句可以用C和弦,“现在你在我眼前”这句可以用Em和弦,我会仔细讲解每个部分的对应和弦。


吉他小白也能弹唱《偏爱》学会张芸京经典,扫弦节奏竟然这么简单



变调夹,让你的声音更舒服

如果你觉得原调太高或者太低,别忘了使用变调夹!我会教你如何使用变调夹,让你的弹唱更舒服,更适合你的音域。男生可能需要夹二品,女生则可以根据自己情况调整。



吉他小白也能弹唱《偏爱》学会张芸京经典,扫弦节奏竟然这么简单


完整演奏,见证你的进步

最后,我会提供完整的歌曲演奏示范,让你能直观地感受歌曲的节奏和韵律。 你也可以边听边练习,不断调整自己的节奏和力度,直到最终能完整流畅地弹唱《偏爱》!这将是一次美妙的音乐旅程!


吉他小白也能弹唱《偏爱》学会张芸京经典,扫弦节奏竟然这么简单



坚持练习,你就是下一个吉他达人!

学习吉他需要时间和耐心,别灰心!只要你坚持练习,就能慢慢掌握技巧。 记住,学习吉他是一个循序渐进的过程,享受这个过程,比结果更重要。 相信我,当你熟练掌握《偏爱》后,你会更有信心去学习其他歌曲,成为下一个吉他达人!


吉他小白也能弹唱《偏爱》学会张芸京经典,扫弦节奏竟然这么简单



欢迎大家在评论区留言,分享你的学习心得和遇到的问题,我们一起交流进步!


作者:乐阳吉他教学 想学吉他?想看更多精彩弹唱?想知道更多吉他弹奏技巧?赶快关注我们,进入《吉他之家》,这里的精彩无与伦比!


路过

吉他之家版权声明:本站图谱信息均来自互联网或网友自制 仅供参考与交流,版权归属原创作者所有。若侵权请告知!

最新评论

最热吉他谱更多

    www.798com.com|联系我们|广告合作|吉他之音|吉他之家 ( 京ICP备12000409号-4 )

    GMT+8, 2025-11-28 20:12

    Powered by Discuz! X3.4 & 吉他之家

    © 2017-2022 Comsenz Inc. & 吉他之家

    返回顶部